Каждая планета Солнечной системы вращается по своей орбите это. Орбиты планет солнечной системы.
- Каждая планета Солнечной системы вращается по своей орбите это. Орбиты планет солнечной системы.
- Каждая планета Солнечной системы обращается по эллипсу в одном из фокусов которого находится солнце. Первый закон Кеплера (закон эллипсов)
- Какая планета вращается в обратную сторону?
- Что такое орбита, какую форму имеют орбиты планет Солнечной системы. Орбиты меньших внутренних планет
- Каждая планета Солнечной системы движется по эллипсу. Наука Нового времени (Н. Коперник, Дж. Бруно, Г. Галилей, И. Ньютон и другие) Страница 2
- Какая планета вращается вокруг своей оси быстрее всех?
- Путь по которому движутся планеты в Солнечной системе называется. История гелиоцентрической системы
- Вращение планет Солнечной системы вокруг своей оси. Вращение планет вокруг своих осей и образование спутников планет
- Орбиты планет Солнечной системы. Структура
- Как вращаются планеты вокруг Солнца?
- Движение планет Солнечной системы. Проверяем ученых
- Движение окружности по которой движется планета вокруг Земли. Пути, по которым вращаются планеты вокруг Солнца
- Планеты Земной группы
- Как называется путь по которому движется планета?
Каждая планета Солнечной системы вращается по своей орбите это. Орбиты планет солнечной системы.
Когда Плутон был расклассифицирован в карликовую планету, Меркурий стал планетой с самой эксцентричной орбитой. Эксцентриситет орбиты это то, насколько планета отклоняется от круглой форма. Таким образом, если орбита идеальный круг, то она имеет эксцентриситет равный нулю, и это число увеличивается с увеличением эксцентриситета.
Эксцентриситет Меркурия - 0, 205. Его орбита находится в диапазоне от 46 миллионов км в самой ближайшей точке к солнцу и 70 миллионов км в самой дальней точке. Самая ближайшая точка к солнцу на орбите, называется перигелий, а самая дальняя точка - афелий. Меркурий - самая быстрая планета, ему требуется всего 88 земных дней, чтобы сделать оборот вокруг солнца.
Эксцентриситет Венеры самый маленький в нашей солнечной системе, составляет 0, 007, т. е орбита Венеры почти идеальный круг. Орбита Венеры колеблется от 107 миллионов км в перигелии до 109 миллионов км в афелии. Венере требуется 224, 7 земных дней, чтобы сделать оборот вокруг солнца. Фактически день на Венере длиннее, чем год, потому что планета очень медленно вращается. Таким образом, если смотреть из северного полюса мира, все планеты вращаются против часовой стрелки, но Венера вращается по часовой стрелке, это единственная планета имеющая такое вращение.
У земли тоже очень маленький эксцентриситет - 0, 017. В среднем планета находится в 150 миллионах км от солнца, но расстояние может варьироваться от 147 до 150 миллионов км. Нашей планете необходимо примерно 365, 256 дня, чтобы сделать оборот вокруг солнца, это и есть причина високосных годов.
Эксцентриситет марса - 0, 093, что делает его орбиту одной из самых эксцентричных в солнечной системе. Перигелий марса составляет 207 миллионов км, и его афелий 249 миллионов км от солнца. В течение долгого времени орбита марса становилась более эксцентричной. Красной планете требуется 687 земных суток, чтобы обернуться вокруг солнца.
Юпитер имеет эксцентриситет 0, 048, с перигелием 741 миллионов км и афелием 778 миллионов км. Ему необходимо 4331 земных дня, т. е 11, 86 наших лет, чтобы облететь солнце.
Эксцентриситет Сатурна - 0, 056. Ближайшая точка к солнцу на орбите Сатурна расположена в 1, 35 миллиардов км, а самая дальняя точка удалена от солнца на 1, 51 миллиард км. В зависимости от того, какую позицию Сатурн занимает на своей орбите, его кольца либо видны, либо почти незаметны. Один оборот вокруг солнца занимает 29, 7 земных лет. Фактически, с момента обнаружения Сатурна в 1610 году, немногим более чем за 400 лет, он сделал всего 13 оборотов вокруг солнца.
Перигелий урана 2, 27 миллиардов км, а афелий 3 миллиарда км от солнца. Его эксцентриситет 0, 047. Урану необходимо 84, 3 земных лет, чтобы обернуться вокруг солнца. Уран уникален, потому что он фактически вращается на боку с осевым наклоном почти в 99°.
Эксцентриситет Нептуна, почти настолько же низок как у Венеры. Перигелий планеты составляет 4, 45 миллиардов км и афелий 4, 55 миллиардов км. Так как Плутон был реклассифицирован как карликовая планета, Нептун - планета с орбитой, самой дальней от солнца.
Каждая планета Солнечной системы обращается по эллипсу в одном из фокусов которого находится солнце. Первый закон Кеплера (закон эллипсов)
| Каждая планета Солнечной системы обращается по эллипсу, в одном из фокусов которого находится Солнце. |
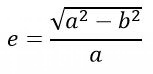
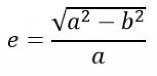
Форма эллипса и степень его сходства с окружностью характеризуется отношением

{\displaystyle e={\frac {c}{a}}}
c - расстояние от центра эллипса до его фокуса (половина межфокусного расстояния), a - большая полуось, b - малая полуось . Величина эксцентриситетом эллипса. При e = 0 ,

- ближайшая к Солнцу точка орбиты планеты или иного небесного тела Солнечной системы.

Афелий - наиболее удаленная точка орбиты.

Современная формулировка распространяет действие закона на любые гравитационно-связанные системы тел:
В гравитационно-связанной системе тело B движется по эллипсу, в одном из фокусов которого находится тело A . Эксцентриситет эллипса определяется численным значением полной энергии системы. В гравитационно-несвязанной системе тело B движется по параболе ( E = 0) или по гиперболе ( E > 0), в фокусах которых находится тело A.
Доказательство связано с тем, что под действием гравитационной силы тела могут двигаться только по коническим сечениям – окружности, эллипсу, параболе или гиперболе.
Какая планета вращается в обратную сторону?
А так тебе ужеответили: в Солнечной системе, если смотреть со стороны Северного полюса Мира, орбитальное вращение у всех ВОСЬМИ планет - против часовой стрелки, а осевое - у всех кроме Урана и Венеры, которые вращаются в обратную сторону. А Уран ещё и лжа на боку.Что такое орбита, какую форму имеют орбиты планет Солнечной системы. Орбиты меньших внутренних планет
Меркурий, Венера, Земля и Марс входят в группу так называемых меньших внутренних планет или планет земной группы: они небольшие, твердые, состоят из металлов силикатов и находятся ближе всего к Солнцу. У Меркурия одна из самых вытянутых орбит, меньше всего похожих на форму круга. Ее эксцентриситет – числовое выражение отклонения от окружности – составляет 0,205. Орбита Меркурия расположена почти в 58 миллионах километров от Солнца. На плоскости эклиптики она тоже лежит неровно, под углом в 7 градусов.
Планета движется по орбите со скоростью 48 километров в секунду, делая оборот вокруг солнца за 88 суток.
Орбита Венеры очень близка по форме к кругу, в отличие от Меркурия (эксцентриситет равен 0,0068). Наклон к плоскости эклиптики у нее тоже очень небольшой: около 3,4 градусов. Планета обращается со скоростью 35 километров в секунду, делая полный оборот за 225 суток.
Орбита Земли эллиптическая, ее длина – более 930 миллионов километров. Скорость движения планеты по орбите не постоянная: она минимальна в июле и максимальна в феврале.
Марс находится в 55 миллионах километров от Земли и в 400 миллионах километров от Солнца. Ее орбита имеет форму очень выраженного эллипса, но не настолько вытянутого, как у Меркурия, с эксцентриситетом в 0,0934. Она наклонена к плоскости эклиптики под градусом 1,85.
Каждая планета Солнечной системы движется по эллипсу. Наука Нового времени (Н. Коперник, Дж. Бруно, Г. Галилей, И. Ньютон и другие) Страница 2
Материалы » Концепции современного естествознания » Наука Нового времени (Н. Коперник, Дж. Бруно, Г. Галилей, И. Ньютон и другие)
1-й закон:
каждая планета движется по эллипсу, в одном из фокусов которого находится Солнце.
2-й закон:
радиус-вектор, проведенный от Солнца к планете, в равные промежутки времени описывает равные площади.
3-й закон:
квадраты времен обращения планет вокруг Солнца относятся как кубы их средних расстояний от него.
Также Кеплер разработал теорию солнечных и лунных затмений, предложил способы их предсказания, уточнил величину расстояния между Землей и Солнцем, составил Рудольфовы таблицы (с помощью этих таблиц можно было определять положение планет в любой момент времени с высокой степенью точности). Кеплеру принадлежит решение ряда важных для практики стереометрических задач. Он был сторонником гелиоцентрической космологии Коперника.
Творчеством одного из величайших ученых человечества, каковым был Исаак Ньютон
(1643-1727), завершалась вторая научная революция. Его научное наследие чрезвычайно разнообразно. Самое главное научное достижение И. Ньютона было продолжение и завершение дела Галилея по созданию классической механики. Ньютон сформулировал три основных закона движения, которые легли в основу механики как науки.
1-й закон:
всякое тело сохраняет состояние покоя или равномерного и прямолинейного движения до тех пор, пока оно не будет вынуждено изменить его под действием каких-то сил.
2-й закон:
приобретаемое телом под действием какой-то силы ускорение прямо пропорционально этой действующей силе и обратно пропорционально массе тела.
3-й закон:
действия двух тел друг на друга равны по величине и направлены в противоположные стороны.
Данная система законов движения была дополнена открытым Ньютоном законом всемирного тяготения, согласно которому все тела, независимо от их свойств и от свойств среды, в которой они находятся, испытывают взаимное притяжение, прямо пропорциональное их массам и обратно пропорциональное квадрату расстояния между ними. Ньютон создал дифференциальное и интегральное исчисления. Он сделал важные астрономические наблюдения, внес большой вклад в развитие оптики (опыты в области дисперсии света). В 1687 году вышел в свет главный труд Ньютона «Математические начала натуральной философии», заложивший основы современной теоретической физики.
Какая планета вращается вокруг своей оси быстрее всех?
Юпитер вращается вокруг своей оси, причём не как твёрдое тело: угловая скорость вращения уменьшается от экватора к полюсам. На экваторе сутки длятся около 9 ч 50 мин. Юпитер вращается быстрее, чем любая другая планета Солнечной системы.Путь по которому движутся планеты в Солнечной системе называется. История гелиоцентрической системы
О подвижности планет стали с уверенностью говорить благодаря теории Николая Коперника, вычислившего период их обращения и расстояние от Солнца. В XVII веке немецкий астроном Иоганн Кеплер вывел ряд законов, согласно которым:
— каждое небесное тело Солнечной системы движется по эллипсу;
— Солнце расположено в одном из фокусов этого самого эллипса;
— планеты вращаются вокруг материнской звезды неравномерно – с ускорением либо замедлением в разных точках своего пути.
Окончательно вращение небесных тел было доказано лишь в XIX веке. А путь вращения планет вокруг Солнца получил название «орбита» (от латинского orbita – дорога, путь ). Если рассматривать только Землю, то полный оборот вокруг Солнца наша планета совершает за 365 дней.
Время, за которое она возвращается обратно в начальную точку пути, называется годом. Кроме того, Земля вертится вокруг своей оси, расположенной под определенным углом к орбите. В результате, чем дальше она от Солнца, тем лучше освещается ее северная половина и тем хуже – южная. Подобное явление способствует смене сезонов, которые мы знаем как зиму, весну, лето и осень.
Несмотря на то что теория движения планет абсолютно доказана, в это трудно поверить даже сейчас, ведь мы совершенно не замечаем их вращения относительно окружающих нас объектов – строений, деревьев. Проверить данное утверждение можно при помощи простого эксперимента: если сбросить маленький железный шарик с высокого здания, то при падении на землю он отклонится от вертикальной оси к востоку.
Все дело в том, что во время вращения наша планета движется быстрее, чем основание здания, поэтому шарик намного «опередит» Землю и будет падать с отклонением от траектории.
Вращение планет Солнечной системы вокруг своей оси. Вращение планет вокруг своих осей и образование спутников планет
Согласно гипотезе образования Солнечной системы из газопылевого облака все планеты, казалось бы, должны иметь одинаковое направление оси собственного вращения и приблизительно одинаковую скорость. Однако этого не наблюдается. Направление оси вращения у каждой планеты своё особенное. И ещё одна важная закономерность: только две планеты, Меркурий и Венера, вращаются очень медленно вокруг собственных осей, и эти планеты не имеют спутников! По этой же причине у этих планет сжатие равно нулю. () Напрашивается связь между наличием спутников у планет и количеством вращательного движения планет. Что могло сообщить, например, планете Земля такое количество вращательного движения, что она стала делать один оборот за 24 часа? А Юпитер имеет период вращения вокруг оси 9 часов 50 минут. Падение на Землю любого из известных астероидов не может вызвать сколько-нибудь заметного изменения количества вращательного движения. Вращение планеты может быть вызвано отделением от неё некоторого количества её вещества в результате взрыва. При этом линия действия реакции отдачи должна проходить на некотором расстоянии от центра масс планеты. Взрыв происходит от цепной реакции деления ядер плутония или урана. Как одни из самых тяжёлых эти химические элементы находятся вблизи твёрдого тяжёлого ядра планеты. В результате различных подвижек и уплотнений количество делящегося материала может стать критическим, при котором начинается цепная ядерная реакция деления. Взрывом выбрасывается часть твердой коры и некоторое количество жидкой магмы в околопланетное пространство на орбиту спутника. Силы гравитации собирают выброшенное вещество в единое шарообразное тело. Большое красное пятно на Юпитере - это большое озеро магмы. Это то место, откуда относительно недавно вырвался очередной спутник Юпитера. Количество делящегося материала, его расположение внутри планеты вблизи твёрдого ядра, направление выброса - величины случайные, и потому направление вращения планеты вокруг собственной оси, угловая скорость этого вращения и масса спутника получаются также случайными. Если ось вращения Земли наклонена к плоскости орбиты примерно на 66,5 градуса, то ось вращения планеты Уран наклонена на - 8 градусов. Говорят, Уран вращается лёжа на боку.
Орбиты планет Солнечной системы. Структура
Орбиты объектов Солнечной системы, в масштабе (по часовой стрелке, начиная с верхней левой части)
Центральным объектом Солнечной системы является Солнце — звезда главной последовательности спектрального класса G2V, жёлтый карлик. В Солнце сосредоточена подавляющая часть всей массы системы (около 99,866 %), оно удерживает своим тяготением планеты и прочие тела, принадлежащие к Солнечной системе. Четыре крупнейших объекта — газовые гиганты — составляют 99 % оставшейся массы (при этом большая часть приходится на Юпитер и Сатурн — около 90 %).Большинство крупных объектов, обращающихся вокруг Солнца, движутся практически в одной плоскости, называемой плоскостью эклиптики. В то же время кометы и объекты пояса Койпера часто обладают большими углами наклона к этой плоскости.
Все планеты и большинство других объектов обращаются вокруг Солнца в одном направлении с вращением Солнца (против часовой стрелки, если смотреть со стороны северного полюса Солнца). Есть исключения, такие как комета Галлея. Самой большой угловой скоростью обладает Меркурий — он успевает совершить полный оборот вокруг Солнца всего за 88 земных суток. А для самой удалённой планеты — Нептуна — период обращения составляет 165 земных лет.
Большая часть планет вращается вокруг своей оси в ту же сторону, что и обращается вокруг Солнца. Исключения составляют Венера и Уран, причём Уран вращается практически «лёжа на боку» (наклон оси около 90°). Для наглядной демонстрации вращения используется специальный прибор — теллурий.
Многие модели Солнечной системы условно показывают орбиты планет через равные промежутки, однако в действительности, за малым исключением, чем дальше планета или пояс от Солнца, тем больше расстояние между её орбитой и орбитой предыдущего объекта. Например, Венера приблизительно на 0,33 а. е. дальше от Солнца, чем Меркурий, в то время как Сатурн на 4,3 а. е. дальше Юпитера, а Нептун на 10,5 а. е. дальше Урана. Были попытки вывести корреляции между орбитальными расстояниями (например, правило Тициуса — Боде), но ни одна из теорий не стала общепринятой.
Орбиты объектов вокруг Солнца описываются законами Кеплера. Согласно им, каждый объект обращается по эллипсу, в одном из фокусов которого находится Солнце. У более близких к Солнцу объектов (с меньшей большой полуосью) больше угловая скорость вращения, поэтому короче период обращения (год). На эллиптической орбите расстояние объекта от Солнца изменяется в течение его года. Ближайшая к Солнцу точка орбиты объекта называется перигелий, наиболее удалённая — афелий. Каждый объект движется быстрее всего в своём перигелии и медленнее всего в афелии. Орбиты планет близки к кругу, но многие кометы, астероиды и объекты пояса Койпера имеют сильно вытянутые эллиптические орбиты.
Большинство планет Солнечной системы обладают собственными подчинёнными системами. Многие окружены спутниками, некоторые из спутников по размеру превосходят Меркурий. Большинство крупных спутников находятся в синхронном вращении, одна их сторона постоянно обращена к планете. Четыре крупнейшие планеты — газовые гиганты — обладают также кольцами, тонкими полосами крошечных частиц, обращающимися по очень близким орбитам практически в унисон.
Терминология
Иногда Солнечную систему разделяют на регионы. Внутренняя часть Солнечной системы включает четыре планеты земной группы и пояс астероидов. Внешняя часть начинается за пределами пояса астероидов и включает четыре газовых гиганта. После открытия пояса Койпера наиболее удалённой частью Солнечной системы считают регион, состоящий из объектов, расположенных дальше Нептуна.
Все объекты Солнечной системы, обращающиеся вокруг Солнца, официально делят на три категории: планеты, карликовые планеты и малые тела Солнечной системы. Планета — любое тело на орбите вокруг Солнца, оказавшееся достаточно массивным, чтобы приобрести сферическую форму, но недостаточно массивным для начала термоядерного синтеза, и сумевшее очистить окрестности своей орбиты от планетезималей. Согласно этому определению в Солнечной системе имеется восемь известных планет: Меркурий, Венера, Земля, Марс, Юпитер, Сатурн, Уран и Нептун. Плутон не соответствует этому определению, поскольку не очистил свою орбиту от окружающих объектов пояса Койпера. Карликовая планета — небесное тело, обращающееся по орбите вокруг Солнца, которое достаточно массивно, чтобы под действием собственных сил гравитации поддерживать близкую к округлой форму, но которое не очистило пространство своей орбиты от планетезималей и не является спутником планеты. По этому определению у Солнечной системы имеется пять признанных карликовых планет: Церера, Плутон, Хаумеа, Макемаке и Эрида. В будущем другие объекты могут быть классифицированы как карликовые планеты, например, Седна, Орк и Квавар. Карликовые планеты, чьи орбиты находятся в регионе транснептуновых объектов, называют плутоидами. Оставшиеся объекты, обращающиеся вокруг Солнца, — малые тела Солнечной системы.
Как вращаются планеты вокруг Солнца?
Земля вращается вокруг Солнца. Марс вращается вокруг Солнца. Венера, Меркурий, Нептур, Уран, и Сатурн — тоже. Луна и Международная космическая станция вращаются вокруг Земли.Движение планет Солнечной системы. Проверяем ученых
Астрономия говорит, что угол между плоскостями эклиптики и Галактики составляет 63°.
Но сама по себе цифра скучна, да и сейчас, когда на обочине наукиадепты плоской Земли, хочется иметь простую и наглядную иллюстрацию. Давайте подумаем, как мы можем увидеть плоскости Галактики и эклиптики на небе, желательно невооруженным взглядом и не отдаляясь далеко от города? Плоскость Галактики — это Млечный путь, но сейчас, с изобилием светового загрязнения, увидеть его не так просто. Есть ли какая-то линия, примерно близкая к плоскости Галактики? Есть — это созвездие Лебедя. Оно хорошо видно даже в городе, а найти его просто, опираясь на яркие звезды: Денеб (альфа Лебедя), Вегу (альфа Лиры) и Альтаир (альфа Орла). «Туловище» Лебедя примерно совпадает с галактической плоскостью.
Хорошо, одна плоскость у нас есть. Но как получить наглядную линию эклиптики? Давайте подумаем, что такое вообще эклиптика? По современному строгому определению эклиптика — это сечение небесной сферы плоскостью орбиты барицентра (центра массы) Земля-Луна. По эклиптике в среднем движется Солнце, но у нас нет двух Солнц, по которым удобно построить линию, да и созвездие Лебедя при солнечном свете не будет видно. Но если вспомнить, что планеты Солнечной системы тоже движутся приблизительно в той же плоскости, то, получается, что парад планет как раз примерно покажет нам плоскость эклиптики. И сейчас в утреннем небе как раз можно наблюдать Марс, Юпитер и Сатурн.
В результате, в ближайшие недели утром до восхода Солнца можно будет очень наглядно видеть вот такую картину:
Которая, как это ни удивительно, прекрасно согласуется с учебниками астрономии.
А гифку правильнее рисовать так: Источник: сайт астронома Rhys Taylor rhysy.net Вопрос может вызвать взаимное положение плоскостей. Летим ли мы Но этот факт, увы, «на пальцах» не проверить, потому что, пусть и сделали это двести тридцать пять лет назад, но использовали результаты многолетних астрономических наблюдений и математику.Движение окружности по которой движется планета вокруг Земли. Пути, по которым вращаются планеты вокруг Солнца
Пути, по которым вращаются планеты вокруг Солнца , называются их орбитами . Орбиты планет представляют собой эллипсы, или вытянутые окружности. Впервые это доказал гениальный математик и астроном Иоганн Кеплер .
Степень вытянутости планетных орбит различна и сравнительно невелика. Наибольшей вытянутостью обладают орбиты Меркурия и Плутона. Что касается земной орбиты, то можно сказать, что она почти не отличается от окружности .
Эллипс нетрудно нарисовать. Возьмём небольшой длины нить и свяжем её концы между собой. Наденем эту нить на две булавки, воткнутые в лист бумаги, плотно лежащий на столе, одна от другой на расстоянии, немного меньшем половины всей нити.
Натянем карандашом нить и, сохраняя ее в этом положении, проведём им по листу бумаги, лежащему на столе. Получится эллипс.
Точки, в которые воткнуты булавки, называются фокусами . Солнце находится в одном из фокусов эллипсов орбит Земли и всех других планет солнечной системы.
Фокусы планетных орбит находятся очень близко к центрам эллипсов, которые лежат как раз посредине между фокусами.
Планеты Земной группы
Существуют четыре планеты Земной группы в нашей Солнечной системе: Меркурий,Венера, Земля и Марс. Планеты Земной группы нашей Солнечной системы также известны как внутренние планеты, потому что эти планеты ближе всего расположены к Солнцу. Планеты Земной группы еще также называются скалистыми планетами. Они отличаются от газовых гигантов по множествам параметров.
По данным Международного астрономического союза, который устанавливает определения для планетарной науки, планета Земной группы представляет собой небесное тело, которое:
- имеет слабое магнитное поле;
- имеет близко расположенную орбиту по отношению к другой планете Земной группы;
- не имеет систему колец.
имеет мало спутников или не имеет их вообще;
Планеты Земной группы имеют ряд общих черт. Все они состоят в основном из горных пород и тяжелых металлов. Эти планеты имеют ядро из тяжелых металлов, в основном железо. Ядро окружено мантией силикатных пород. Планеты Земной группы значительно меньше, чем. Планеты Земной группы также имеют изменяющийся ландшафт, например, вулканы, каньоны, горы и кратеры.
Еще одна общая черта среди планет Земной группы: у них очень мало, либо совсем отсутствуют спутники. Меркурий и Венера совсем не имеют спутников, у Земли –, у Марса –. Кроме того, планеты Земной группы не имеют планетарных колец. Атмосфера планет может варьироваться от толстой атмосферы диоксида углерода у Венеры до почти полного отсутствия таковой у Меркурия.

