Золотое сечение, что это такое. Золотое сечение: как это работает.
- Золотое сечение, что это такое. Золотое сечение: как это работает.
- Золотое сечение примеры. Как получили золотое сечение
- Золотое сечение, что это такое. Понятие золотого сечения
- Золотое сечение тату. Значение татуировки спираль
- Золотое сечение в человеке. Золотое сечение в математике
- Принцип золотого сечения. Успешное творение или правило золотого сечения
- Золотое сечение в архитектуре. Как получили золотое сечение
- Золотое сечение лица. Золотое сечение - пропорция лица
- Золотое сечение в композиции. Основы композиции - Золотое сечение
- Золотое сечение в музыке. Метод золотого сечения в музыкальных произведениях
Золотое сечение, что это такое. Золотое сечение: как это работает.
Золотое сечение - это универсальное проявление структурной гармонии. Оно встречается в природе, науке, искусстве - во всем, с чем может соприкоснуться человек. Однажды познакомившись с золотым правилом, человечество больше ему не изменяло.
Определение.
Наиболее емкое определение золотого сечения гласит, что меньшая часть относится к большей, как большая - ко всему целому. Приблизительная его величина - 1, 6180339887. В округленном процентном значении пропорции частей целого будут соотноситься как 62% на 38%. Это соотношение в формах пространства и времени действует.
Древние видели в золотом сечении отражение космического порядка, а Иоганн Кеплер называл его одним из сокровищ геометрии. Современная наука рассматривает золотое сечение как "Асимметричную Симметрию", называя его в широком смысле универсальным правилом, отражающим структуру и порядок нашего мироустройства.
История.
Представление о золотых пропорциях имели древние египтяне, знали о них и на Руси, но впервые научно золотое сечение объяснил монах лука пачоли в книге "Божественная Пропорция" (1509), иллюстрации к которой предположительно сделал Леонардо да Винчи. Пачоли усматривал в золотом сечении божественное триединство: малый отрезок олицетворял сына, большой - отца, а целое - святой дух.
Непосредственным образом с правилом золотого сечения связано имя итальянского математика Леонардо Фибоначчи. В результате решения одной из задач ученый вышел на последовательность чисел, известную сейчас как ряд Фибоначчи: 1, 2, 3, 5, 8, 13, 21, 34, 55 и т. д. на отношение этой последовательности к золотой пропорции обратил внимание Кеплер: "Устроена она так, что два Младших Члена Этой Нескончаемой Пропорции в Сумме Дают Третий Член, а Любые два Последних Члена, Если их Сложить, Дают Следующий Член, Причем та же Пропорция Сохраняется до Бесконечности". Сейчас ряд Фибоначчи - это арифметическая основа для расчетов пропорций золотого сечения во всех его проявлениях
Фибоначчи числа - гармоническое деление, мера красоты. Золотое сечение в природе, человеке, искусстве, архитектуре, скульптуре, дизайне, математике, музыке https://psihologiyaotnoshenij.com/stati/zolotoe-sechenie-kak-eto-rabotaet
Леонардо да Винчи также много времени посвятил изучению особенностей золотого сечения, скорее всего, именно ему принадлежит и сам термин. Его рисунки стереометрического тела, образованного правильными пятиугольниками, доказывают, что каждый из полученных при сечении прямоугольников дает соотношения сторон в золотом делении.
Со временем правило золотого сечения превратилось в академическую рутину, и только философ Адольф цейзинг в 1855 году вернул ему вторую жизнь. Он довел до абсолюта пропорции золотого сечения, сделав их универсальными для всех явлений окружающего мира. Впрочем, его "Математическое Эстетство" вызывало много критики.
Природа.
Даже не вдаваясь в расчеты, золотое сечение можно без труда обнаружить в природе. Так, под него попадают соотношение хвоста и тела ящерицы, расстояния между листьями на ветке, есть золотое сечение и в форме яйца, если условную линию провести через его наиболее широкую часть.
Белорусский ученый Эдуард сороко, который изучал формы золотых делений в природе, отмечал, что все растущее и стремящееся занять свое место в пространстве, наделено пропорциями золотого сечения. По его мнению, одна из самых интересных форм это закручивание по спирали.
Еще Архимед, уделяя внимание спирали, вывел на основе ее формы уравнение, которое и сейчас применяется в технике. Позднее Гете отмечал тяготение природы к спиральным формам, называя спираль "Кривой Жизни". Современными учеными было установлено, что такие проявления спиральных форм в природе как раковина улитки, расположение семян подсолнечника, узоры паутины, движение урагана, строение днк и даже структура галактик заключают в себе ряд Фибоначчи.
Человек.
Модельеры и дизайнеры одежды все расчеты делают, исходя из пропорций золотого сечения. Человек - это универсальная форма для проверки законов золотого сечения. Конечно, от природы далеко не у всех людей пропорции идеальны, что создает определенные сложности с подбором одежды.
В дневнике Леонардо да Винчи есть рисунок вписанного в окружность обнаженного человека, находящегося в двух наложенных друг на друга позициях. Опираясь на исследования римского архитектора витрувия, Леонардо подобным образом пытался установить пропорции человеческого тела. Позднее французский архитектор Ле корбюзье, используя "Витрувианского Человека" Леонардо, создал собственную шкалу "гармонических пропорций", повлиявшую на эстетику архитектуры XX века.
Адольф цейзинг, исследуя пропорциональность человека, проделал колоссальную работу. Он измерил порядка двух тысяч человеческих тел, а также множество античных статуй и вывел, что золотое сечение выражает среднестатистический закон. В человеке ему подчинены практически все части тела, но главный показатель золотого сечения это деление тела точкой пупа.
В результате измерений исследователь установил, что пропорции мужского тела 13: 8 ближе к золотому сечению, чем пропорции женского тела - 8: 5.
Искусство пространственных форм.
Художник Василий суриков говорил, "что в Композиции Есть Непреложный Закон, Когда в Картине Нельзя Ничего ни Убрать, ни Добавить, Даже Лишнюю Точку Поставить Нельзя, это Настоящая Математика". Долгое время художники следовали этому закону интуитивно, но после Леонардо да Винчи процесс создания живописного полотна уже не обходится без решения геометрических задач. Например, Альбрехт Дюрер для определения точек золотого сечения использовал изобретенный им пропорциональный циркуль.
Искусствовед Ф. в. Ковалев, подробно исследовав картину Николая Ге "Александр Сергеевич Пушкин в Селе Михайловском", отмечает, что каждая деталь полотна, будь то камин, этажерка, кресло или сам поэт, строго вписаны в золотые пропорции.
Исследователи золотого сечения без устали изучают и замеряют шедевры архитектуры, утверждая, что они стали таковыми, потому что созданы по золотым канонам: в их списке великие пирамиды гизы, собор парижской богоматери, храм Василия блаженного, Парфенон.
И сегодня в любом искусстве пространственных форм стараются следовать пропорциям золотого сечения, так как они, по мнению искусствоведов, облегчают восприятие произведения и формируют у зрителя эстетическое ощущение.
Слово, звук и кинолента.
Формы временно? Го искусства по-своему демонстрируют нам принцип золотого деления. Литературоведы, к примеру, обратили внимание, что наиболее популярное количество строк в стихотворениях позднего периода творчества Пушкина соответствует ряду Фибоначчи - 5, 8, 13, 21, 34.
Действует правило золотого сечения и в отдельно взятых произведениях русского классика. Так кульминационным моментом "Пиковой Дамы" является драматическая сцена Германа и графини, заканчивающаяся смертью последней. В повести 853 строки, а кульминация приходится на 535 строке (853: 535=1, 6) - это и есть точка золотого сечения.
Советский музыковед э. к. Розенов отмечает поразительную точность соотношений золотого сечения в строгих и свободных формах произведений Иоганна Себастьяна Баха, что соответствует вдумчивому, сосредоточенному, технически выверенному стилю мастера. Это справедливо и в отношении выдающихся творений других композиторов, где на точку золотого сечения обычно приходится наиболее яркое или неожиданное музыкальное решение.
Кинорежиссер Сергей эйзенштейн сценарий своего фильма "Броненосец Потёмкин" сознательно согласовывал с правилом золотого сечения, разделив ленту на пять частей. В первых трех разделах действие разворачивается на корабле, а в последних двух - в Одессе. Переход на сцены в городе и есть золотая середина фильма.
Золотое сечение примеры. Как получили золотое сечение
Пропорцию золотого сечения проще всего представить, как отношение двух частей одного объекта разной длины, разделенных точкой.
Проще говоря, сколько длин маленького отрезка поместится внутри большого, или отношение самой большей из частей ко всей длине линейного объекта. В первом случае соотношение золотого сечения составляет 0,63, во втором варианте соотношение сторон равняется 1,618034.
На практике золотое сечение представляет собой всего лишь пропорцию, соотношение отрезков определенной длины, сторон прямоугольника или других геометрических форм, родственных или сопряженных размерных характеристик реальных объектов.
Первоначально золотые пропорции были выведены эмпирическим путем с помощью геометрических построений. Существует несколько способов построения или выведения гармонической пропорции:
- Классическим разбиением одной из сторон прямоугольного треугольника и построением перпендикуляров и секущих дуг. Для этого из одного конца отрезка необходимо восстановить перпендикуляр высотой в ½ его длины и построить прямоугольный треугольник, как на схеме.
Если на гипотенузе отложить высоту перпендикуляра, то радиусом, равным оставшемуся отрезку, основание рассекается на два отрезка с длинами, пропорциональными золотому сечению; - Методом построения пентаграммы Дюрера, гениального немецкого графика и геометра. Сегодня мы знаем метод золотого сечения Дюрера, как способ построения звезды или пентаграммы, вписанной в окружность, в которой как минимум четыре отрезка гармоничной пропорции;
- В архитектуре и строительстве золотое сечение чаще используется в усовершенствованном виде. В этом случае используется разбиение прямоугольного треугольника не по катету, а по гипотенузе, как схеме.
К сведению! В отличие от классического золотого соотношения, архитектурная версия подразумевает соотношение сторон отрезка в пропорции 44:56.
Если стандартный вариант золотого сечения для живых существ, живописи, графики, скульптур и античных построек рассчитывался, как 37:63, то золотое сечение в архитектуре с конца XVII века все чаще стало использоваться 44:56. Большинство специалистов считают изменение в пользу более «квадратных» пропорций распространением высотного строительства.
Золотое сечение, что это такое. Понятие золотого сечения
Итак, золотое сечение – это золотая пропорция, которая также является гармоническим делением. Для того чтобы объяснить это более понятно, рассмотрим некоторые особенности формы. А именно: форма является чем-то целым, ну а целое, в свою очередь, всегда состоит из некоторых частей. Эти части, вероятнее всего, обладают разными характеристиками, по крайней мере разными размерами. Ну а такие размеры всегда находятся в определенном соотношении как между собой, так и по отношению к целому.

Значит, другими словами, мы можем утверждать, что золотое сечение – это соотношение двух величин, которое имеет свою формулу. Использование такого соотношения при создании формы помогает сделать ее максимально красивой и гармоничной для человеческого глаза.
Золотое сечение тату. Значение татуировки спираль

В татуировке спирали заложено намного больше смысла чем это кажется на первый взгляд. Такой простой узор построен по так называемому принципу золотого сечения, который встречается в природе повсюду. Причем этот принцип известен с древних времен, что подтверждается его наличием в основании египетских пирамид.
Символика татуировок со спиралями
В татуировках Та-моко или в тех же кельтских узорах спирали встречаются очень часто, и это не удивительно. Отсутствие прямых углов этой фигуры символизирует связь с природой, которая не любит прямые углы, старается всегда их сгладить. Татуировка спирали означает единство с природой, как правило такую тату делают спокойные, рассудительные люди.
Но это лишь общее значение, нередко люди пытаются узнать о значении татуировки в виде спирали, на самом деле путая ее с другими татуировками. Часто татуировка спиралевидного панциря вводит людей в заблуждение, она в последнее время весьма популярна. Одна значение абсолютно другое, она подходит замкнутым людям, одиночкам, обычно перенесших какое-то потрясение и не желающим о нем делиться, а в его честь делают такую наколку.

Весьма похожа на спираль татуировка волны , которая символизирует любовь к морю или татуировка черного солнца , о значении которой мы подробно писали.
Нередко татуировку спирали делают в качестве оберега, так как это символ цикличности жизни, он передают энергию мира и существования. Наносить изображение спирали можно на плечи, предплечья, грудь и спину. Больше татуировка подходит женщинам, так как еще одно значение татуировки – женское начало.
Я рекомендую наносить татуировку спирали с поперечными линиями, чтобы однозначно идентифицировать ее как символ цикличности времени и связи с природой.
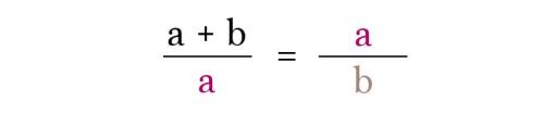
Золотое сечение в человеке. Золотое сечение в математике
Считается, что первым ввел понятие золотого сечения Пифагор. До наших дней дошли труды Евклида (он при помощи золотого сечения строил правильные пятиугольники, именно поэтому такой пятиугольник назван «золотым»), а число золотого сечения названо в честь древнегреческого архитектора Фидия. То есть, это у нас число «фи» (обозначается греческой буквой φ), и равно оно 1.6180339887498948482… Естественно, это значение округляют: φ = 1,618 или φ = 1,62, а в процентном соотношении золотое сечение выглядит, как 62% и 38%.
В чем же уникальность этой пропорции (а она, поверьте, есть)? Давайте для начала попробуем разобраться на примере отрезка. Итак, берем отрезок и делим его на неравные части таким образом, чтобы его меньшая часть относилась к большей, как большая ко всему целому. Понимаю, не очень пока ясно, что к чему, попробую проиллюстрировать наглядней на примере отрезков:

Итак, берем отрезок и делим его на два других, таким образом, чтобы меньший отрезок а, относился к большему отрезку b, так же, как и отрезок b относится к целому, то есть ко всей линии (a + b). Математически это выглядит так:

Этот правило работает бесконечно, вы можете делить отрезки сколь угодно долго. И, видите, как это просто. Главное один раз понять и все.
Но теперь рассмотрим более сложный пример, который попадается очень часто, так как золотое сечение еще представляют в виде золотого прямоугольника (соотношение сторон которого равно φ = 1,62). Это очень интересный прямоугольник: если от него «отрезать» квадрат, то мы снова получим золотой прямоугольник. И так бесконечно много раз. Смотрите:

Но математика не была бы математикой, если бы в ней не было формул. Так что, друзья, сейчас будет немножко «больно». Решение золотой пропорции спрятала под спойлер, очень много формул, но без них не хочу оставлять статью.
Принцип золотого сечения. Успешное творение или правило золотого сечения
Запечатление момента – именно в этом заключается миг творения художника или фотографа. Кроме вдохновения, мастер должен следовать строго определенным правилам, коими предстают: контраст, размещение, равновесие, правило соблюдения третей и многие другие. Но приоритетным все же признается правило золотого сечения, оно же правило третей.
Просто о сложном
Если в упрощенном виде преподносить основу правила золотого сечения, то фактически - это деление воспроизводимого момента на девять равных частей (три по вертикали на три по горизонтали). Впервые специально его ввел Леонардо да Винчи, выстраивая все свои композиции в этой своеобразной сетке. Именно он практически подтвердил, что ключевые элементы изображения должны быть сосредоточены в точках пересечения вертикальных и горизонтальных линий.
Правило золотого сечения в фотографии подлежит определенной коррекции. Кроме девятисегментной сетки рекомендуется использовать и так называемые треугольники. Принцип их построения основывается на правиле третей. Для этого из крайней верхней точки проводится диагональ в нижнюю, а из противоположной верхней – луч, делящий уже существующую диагональ в одной из внутренних точек пересечения сетки. Ключевой элемент композиции должен быть отображен в среднем по величине из получившихся треугольников. Здесь стоит сделать ремарку: приведенная схема построения треугольников отображает лишь их принцип, а, значит, имеет смысл экспериментировать с приведенной инструкцией.
Как использовать сетку и треугольники?
Правило золотого сечения в фотографии действует по определенным нормам в зависимости от того, что изображается на ней.
Фактор горизонта. Согласно правилу третей, его следует располагать по горизонтальным линиям. При этом, если запечатляемый объект находится выше уровня горизонта, то фактор проходит через нижнюю линию, и наоборот.
Расположение главного объекта. Классическим считается такое расположение, при котором центральный элемент находится в одной из точек пересечения. Если фотограф выделяет два объекта, то они должны быть по диагонали или в параллельных точках.
Использование треугольников. Правило золотого сечения в рассматриваемом случае отступает от канонов, но незначительно. Объект не обязан располагаться в точке пересечения, но находится максимально близко к ней в среднем треугольнике.
Направление. Используется данный принцип съемки в динамичной фотографии и заключается в том, что перед движимым объектом должно оставаться две трети пространства снимка. Это обеспечит эффект перемещения вперед и указание цели. В противном случае фотография может остаться недопонятой.
Корректировка правила золотого сечения
Несмотря на то, что правило третей в существующей теории построения композиции считается классическим, всё больше фотографов склонны отказываться от него. Мотивация у них проста: анализ картин известных художников показывает, что правило золотого сечения не выдерживается. С данным утверждением можно поспорить.
Рассмотрим всем известную Джоконду, которую противники использования правила третей приводят в качестве примера (забывая, что сам да Винчи стоял у истоков его практического использования). Их аргументами служит то, что мастер не посчитал нужным расположить ключевые элементы картины по точкам пересечения, как этого требует классическое изображение. Но они упускают из вида фактор горизонтальных линий, согласно которому голова и торс изображаемой расположены таким образом, что силуэт в целом не «режет глаз». Кроме того, в данном произведении в большей степени использована спираль, о которой в большинстве случаев забывают теоретики фотографии. И так можно опровергнуть утверждения относительно практически каждого творенияя, приводимого в качестве примера.
Правило золотого сечения можно использовать, а можно отказаться от него, если требуется подчеркнуть дисгармоничность композиции. Однако утверждать, что оно не является ключевым в формировании арт-объекта, невозможно.
Золотое сечение в архитектуре. Как получили золотое сечение
Пропорцию золотого сечения проще всего представить, как отношение двух частей одного объекта разной длины, разделенных точкой.
Проще говоря, сколько длин маленького отрезка поместится внутри большого, или отношение самой большей из частей ко всей длине линейного объекта. В первом случае соотношение золотого сечения составляет 0,63, во втором варианте соотношение сторон равняется 1,618034.
На практике золотое сечение представляет собой всего лишь пропорцию, соотношение отрезков определенной длины, сторон прямоугольника или других геометрических форм, родственных или сопряженных размерных характеристик реальных объектов.
Первоначально золотые пропорции были выведены эмпирическим путем с помощью геометрических построений. Существует несколько способов построения или выведения гармонической пропорции:
- Классическим разбиением одной из сторон прямоугольного треугольника и построением перпендикуляров и секущих дуг. Для этого из одного конца отрезка необходимо восстановить перпендикуляр высотой в ½ его длины и построить прямоугольный треугольник, как на схеме.
Если на гипотенузе отложить высоту перпендикуляра, то радиусом, равным оставшемуся отрезку, основание рассекается на два отрезка с длинами, пропорциональными золотому сечению; - Методом построения пентаграммы Дюрера, гениального немецкого графика и геометра. Сегодня мы знаем метод золотого сечения Дюрера, как способ построения звезды или пентаграммы, вписанной в окружность, в которой как минимум четыре отрезка гармоничной пропорции;
- В архитектуре и строительстве золотое сечение чаще используется в усовершенствованном виде. В этом случае используется разбиение прямоугольного треугольника не по катету, а по гипотенузе, как схеме.
К сведению! В отличие от классического золотого соотношения, архитектурная версия подразумевает соотношение сторон отрезка в пропорции 44:56.
Если стандартный вариант золотого сечения для живых существ, живописи, графики, скульптур и античных построек рассчитывался, как 37:63, то золотое сечение в архитектуре с конца XVII века все чаще стало использоваться 44:56. Большинство специалистов считают изменение в пользу более «квадратных» пропорций распространением высотного строительства.
Золотое сечение лица. Золотое сечение - пропорция лица
Многие грезят идеальной внешностью, но далеко не все имеют четкое представление о том, какие пропорции можно считать гармоничными. Формула золотого сечения лица неразрывно связана с числом 1,618 и прочими соотношениями. Так, пропорции красоты можно описать следующим образом:
- отношение высоты и ширины лица должно равняться 1,618;
- если разделить длину рта и ширину крыльев носа, то получится 1,618;
- при делении расстояний между зрачками и бровями, опять-таки, получается 1,618;
- длина глаз должна совпадать с расстоянием между ними, а также с шириной носа;
- участки лица от линии роста волос до бровей, от переносицы до кончика носа, и нижняя часть до подбородка должны быть равными;
- если от зрачков провести вертикальные линии к уголкам губ, то получится три равных по ширине участка.
Нужно понимать, что в природе совпадение всех параметров встречается достаточно редко. Но в этом нет ничего дурного. Это вовсе не значит, что лица, не соответствующие идеальным пропорциям, можно назвать некрасивыми или немиловидными. Напротив, именно "дефекты" порой придают лицу незабываемый шарм.

Золотое сечение в композиции. Основы композиции - Золотое сечение
Золотое сечение в композиции рисунков в paint.net
Математически «Золотое сечение» можно описать так - отношение целого к большей его части должно равно отношению большей части к меньшей. Проиллюстрируем на примере отрезка.
В нашем случае весь отрезок В разделен на две части – большую А и меньшую Б. Тогда, если В/А будет равно А/Б, деление отрезка будет осуществлено по принципу, называемому «Золотое Сечение».
Не совсем точно, но близко к «Золотому сечению», например соотношение 2/3 или 5/8. Числа в подобных соотношениях нередко называют «золотыми».
Зачем эта информация нам для рисования в paint.net? «Золотое сечение» важно для композиции. Считается, что объекты, содержащие в себе «золотое сечение», воспринимаются людьми как наиболее гармоничные. Именно в подобных соотношениях выбирали размеры хостов для своих картин известные художники.
Рассмотрим упрощенный вариант построения «Золотого сечения» для композиции рисунка, или правило «Трети». Заключается правило трети в том, что мы мысленно делим кадр, на три части по горизонтали и вертикали и в точках пересечения воображаемых линий, размещаем ключевые и важные детали нашего рисунка или фотоколлажа.
Принцип "золотого сечения" можно применять при кадрировании изображения. Так, например, кадр, сформированный по правилу "золотого сечения", из большой фотографии может иметь следующий вид.
Золотое сечение в музыке. Метод золотого сечения в музыкальных произведениях
«Золотое сечение» – это понятие, скорее, математическое и его изучение – задача науки. Это деление некоей величины на две части в таком отношении, когда болььшая часть так будет относиться к меньшей, как целое к большей. Данное отношение оказывается равным трансцендентному числу Ф=1,6180339… с удивительными свойствами.
Метод золотого сечения — это поиск значений функции на заданном отрезке. Данный метод основывается на принципе деления отрезка в так называемой золотой пропорции. Наибольшее распространение он получил для поиска экстремальных значений при решении задач, связанных с оптимизацией. Кроме математики, метод золотого сечения используется в самых разных сферах, начиная от архитектуры, искусства и заканчивая астрономией. Так, например, известный советский режиссёр Сергей Эйзенштейн использовал его в своей картине «Броненосец Потёмкин», а Леонардо да Винчи – при написании им знаменитой «Джоконды».
Метод золотого сечения применяется и в музыке. Оказалось, что в музыкальных произведениях очень часто встречается эта золотая пропорция. В начале 20 века на заседании Московского музыкального кружка было сделано сообщение, содержащее информацию о том, какое применение находит золотое сечение в музыке. Сообщение с огромным интересом слушали члены музыкального кружка композиторы С. Рахманинов, С. Танеев, Р. Глиэр и другие. Доклад музыковеда Розенова Э.К. «Закон золотого сечения в музыке и поэзии» положил начало исследованиям математических закономерностей, связанных с золотой пропорцией, в музыке. Он проанализировал музыкальные произведения Моцарта, Баха, Бетховена, Вагнера, Шопена, Глинки и других композиторов и показал, что в их произведениях присутствует эта «божественная пропорция».
Кульминация многих музыкальных произведений располагается не в центре, а немного смещена к концу произведения в соотношении 62:38 – это и есть точка золотой пропорции. Доктор искусствоведения, профессор Л. Мазель заметил, изучая восьмитактные мелодии Шопена, Бетховена, Скрябина, что во многих творениях этих композиторов кульминация, как правило, приходится на слабую долю пятого, то есть на точку золотого сечения – 5/8. Л. Мазель считал, что практически у каждого композитора – приверженца гармонического стиля можно найти подобную музыкальную структуру: пять тактов подъёма и три такта спуска. Это говорит о том, что метод золотого сечения активно применялся композиторами сознательно либо бессознательно. Вероятно, такое структурное расположение кульминационных моментов придает музыкальному произведению гармоническое звучание и эмоциональную окраску.
Серьёзное исследование музыкальных произведений на предмет проявления в них золотой пропорции предпринял композитор и музыковед Л. Сабанеев. Он изучил около двух тысяч творений разных композиторов и пришёл к выводу, что примерно в 75% случаев золотое сечение присутствовало в музыкальном произведении хотя бы один раз. Самое большое количество произведений, в которых встречается золотая пропорция, он отмечал у таких композиторов, как Аренский (95%), Бетховен (97%), Гайдн (97%), Моцарт (91%), Скрябин (90%), Шопен (92%), Шуберт (91%). Наиболее пристально он исследовал этюды Шопена и пришёл к выводу, что золотое сечение было определено в 24 этюдах из 27. Только в трёх этюдах Шопена золотая пропорция не была обнаружена. Иногда структура музыкального произведения включала в себя одновременно и симметричность, и золотое сечение. Например, у Бетховена многие произведения делятся на симметричные части, и в каждой из них проявляется золотое сечение.
Итак, можно сказать, что наличие золотого сечения в музыкальном произведении является одним из критериев гармоничности музыкальной композиции.